STEVE'S MATH PAGE

SERVICES

  • PRIVATE TUTORING - HIGH SCHOOL AND FRESHMAN MATHEMATICS
  • FEES : $30 - ONE HOUR SESSION  -  AT MY HOME
  • SEMIAHMOO LIBRARY OR OTHER LOCATION - $40 / ONE HOUR SESSION
  • DISCOUNTS FOR MULTIPLE SESSIONS - $60 / TWO SESSIONS
  • WESTLAND CONSULTING - OTHER MATHEMATICAL MATERIAL
  • FREE ON-LINE HELP FOR CLIENTS - EMAIL ME !
  • HARNESS AI + EXAM PREP = MATH SUCCESS

  • ONLINE TUTORING VIA MS TEAMS / ZOOM - $30 HOUR / $40 -  90 MIN SESSION
    ONLINE TUTORING  -  WE WILL BOTH HAVE HARD COPY OF SAME MATERIAL    
     

PHOTOS:  I WILL OFTEN ASK FOR A FEW PHOTOS OF THE MATERIAL BEFORE THE TUTORING SESSION.  I NEED THE ACTUAL QUESTIONS THE STUDENT WANTS TO ADDRESS.  OBTAINING AND SENDING PHOTOS IS VERY EASY WITH A SMART PHONE AND IT PERMITS ME TO PREPARE PROPERLY.  EMAIL ALL PHOTOS TO THE GMAIL ADDRESS BELOW.  THX



 
WHOIS


STEVE HAS A BACHELOR OF SCIENCE DEGREE FROM THE UNIVERSITY OF BRITISH COLUMBIA AND HAS BEEN TUTORING MATHEMATICS IN VANCOUVER FOR MORE THAN TWENTY YEARS. HIS ACADEMIC BACKGROUND WAS FOCUSED ON MATHEMATICS AND HE GRADUATED WITH IT AS A MAJOR. STEVE IS ALSO A RECREATIONAL SOFTWARE DEVELOPER AND HAS TEACHING EXPERIENCE GAINED IN ASIA - KOREA, TAIWAN, AND CHINA.


CONTACT 


# 6  15168  22 AVE  SURREY

        

  



NOVELTIES

 

 

  • THE MATHEMATICAL CALENDAR

CONSIDER ANY DATE AFTER 1582 (ADOPTION OF GREGORIAN CALENDAR)
LET : N=DAY OF THE MONTH, M=MONTH NUMBER (starting with march=1),
C=HUNDREDS PART OF THE YEAR, Y=OTHER PART OF THE YEAR,
L=1 IF LEAP YR, 0 OTHERWISE, [X]=GREATEST INTEGER LESS THAN OR EQUAL TO X.

THEN THE WEEK DAY IS :
d = N+[2.6M-0.2]+Y+[Y/4]+[C/4]-2C-(1+L)[M/11] (mod7)
(Sunday = 0, Monday =1, etc) ( mod 7 = remainder when divided by 7 )

EXAMPLE : Oct 18 1998
N=18, M=8, C=19, Y=98, L=0
d = N+[2.6M-0.2]+Y+[Y/4]+[C/4]-2C-(1+L)[M/11] (mod 7)
d = 18+[20.6]+98+[98/4]+[19/4]-38-(1)[8/11] (mod 7)
d = 18+20+98+24+4-38-0 (mod 7)
d = 126 (mod 7)
d = 0 ------> Sunday

 

  • THE MISSING DOLLAR PROBLEM

Three people have dined at a restaurant and received a total bill for $30. They agree to split the amount equally and pay $10 each. The waiter hands the bill and the $30 to the manager, who realizes there's been a mistake and the correct charge should be only $25. He gives the waiter five $1 bills to return to the customers, with the restaurant's apologies. However, the waiter is dishonest. He pockets $2, and gives back only $3 to the customers. So, each of the three customers has paid $9 and the waiter has stolen $2 making a total of $29. But the original bill was for $30. Where is the missing dollar ?

 

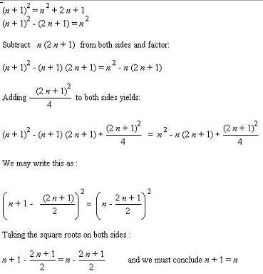
  • PROOF THAT n = n + 1

 

  • A LIMERICK

 

 

A dozen, a gross, and a score
Plus three times the square root of four
Divided by seven
Plus five times eleven
Is nine squared and not a bit more.

 

  • ARISTOTLE'S WHEEL PARADOX

 

 

 

THE OUTER CIRCLE TURNS ONCE WHEN GOING FROM A TO B, AS DOES THE INNER CIRCLE WHEN GOING FROM C TO D. HOW CAN THIS BE?   AB IS THE SAME LENGTH AS CD, BUT THE CIRCLES ARE A DIFFERENT SIZE.

 

  • BENFORD'S LAW

If a number is chosen at random from a large table of data or statistics, the chance that the first digit is 1 is about 30.1%, that the first digit is 2 is about  17.6%, that it is three is 12.4%, . . . . . , that  it is 9 is 4.5%.  In fact, the probability the first digit is d is log(1+1/d).
Benford tested thousands of different collections of data, including the surface area of 335 rivers, specific heats and molecular weights of thousands of chemicals, baseball statistics,  and addresses chosen at random.
 

  • HAM SANDWICH THEOREM

Given a sandwich in which bread, ham, and cheese (three finite volumes) are mixed up, in any way at all, there is always a flat slice of a knife (a plane) that bisects each of the ham, bread, and cheese. In other words, however messed up the sandwich – even if it's been in a blender – you can always slice through it in such a way that the two halves have exactly equal amounts, by volume, of the three ingredients.

  • THE MONTY HALL PROBLEM

Pick a door. Behind one of them is a NEW SAIL BOAT, and behind the other two are goats.  The Monty hall problem as explained by Stedwick .




NOTES

 

 

 LINKS - May require Java or Flash. Some don't like certain browsers.

Math lessons by BC Math
Khan Academy
Study Pug
Math 12 practice by Barry Mabillard
Math 12 -  Quiz me BC
Cool Math
Desmos Graphing Calculator
Exploring Binary - The laws of exponents
Math Words - Logarithm Rules
The Cubic Formula
Russian Math - rethink multiplication and binary
University of Waterloo Contests
Texas Instruments  TI-89 Tutorial
Math GPT
YOUTUBE videos by Mathbff
How to find any limit
How to find the limit at infinity
Implicit Differentiation
Solve by completing the square
Basic Integration